Beranda
/ Rpp Pencemaran Lingkungan Smp Kelas 7 Kurikulum 2013 Pdf / Rpp Pencemaran Lingkungan Pdf - 2 pertemuan (4 jp) kompetensi inti menghargai dan menghayati ajaran agama yang dianutnya menghargai dan menghayati perilaku jujur, disiplin, tanggungjawab, peduli (toleransi, gotongroyong),…
Rpp Pencemaran Lingkungan Smp Kelas 7 Kurikulum 2013 Pdf / Rpp Pencemaran Lingkungan Pdf - 2 pertemuan (4 jp) kompetensi inti menghargai dan menghayati ajaran agama yang dianutnya menghargai dan menghayati perilaku jujur, disiplin, tanggungjawab, peduli (toleransi, gotongroyong),…
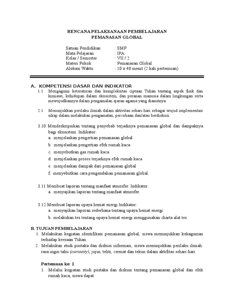
Rpp Pencemaran Lingkungan Smp Kelas 7 Kurikulum 2013 Pdf / Rpp Pencemaran Lingkungan Pdf - 2 pertemuan (4 jp) kompetensi inti menghargai dan menghayati ajaran agama yang dianutnya menghargai dan menghayati perilaku jujur, disiplin, tanggungjawab, peduli (toleransi, gotongroyong),…. Rpp bilangan smp kelas vii (tujuh) semester 1. Silabus rpp seni budaya smp mts kurikulum 2013 kelas vii, viii, ix. Rpp.kd.3.13 tata surya kelas vii rev. Kompetensi yang diharapkan setelah peserta didik. Definisi pencemaran pencemaran lingkungan adalah masuknya makhluk hidup, zat, energi, dan/atau komponen lain ke dalam lingkungan hidup oleh kegiatan manusia.
Rpp ipa pencemaran lingkungan kurikulum 2013. Download format kkm ipa kelas 7 smp revisi terbaru kurikulum 2013. Model pembelajaran jigsaw dapat meningkatkan rasa tanggung jawab peserta didik terhadap pembelajarannya sendiri dan orang lain. Pencemaran lingkungan alokasi waktu : Vii (tujuh)/i (satu) materi pokok :
Download Rpp Pjj Ipa Kelas 7 Smp Tahun 2020 Pdf from rukim.id Wa 085.218.321.456 | smp > rpp pencemaran lingkungan kelas 7 kurikulum 2013 pdf. Rpp smp kurikulum 2013 kelas 7 8 9 semua mata pelajaran dilengkapi dengan silabus prota prosem untuk semester 1 dan semester 2. Bagi siswa yang saat ini tengah duduk dibangku kelas 7 8 9 smp / mts tentu beragam materi pelajaran sudah didapatkan. If you continue browsing the site, you agree to the use of cookies on this website. Smp negeri 2 muara bungo mata pelajaran : Rpp bilangan smp kelas vii (tujuh) semester 1. Instink mathematic rpp ipa pencemaran lingkungan kurikulum 2013. Berikut ini kutipan teks dari isi berkas silabus rpp ips smp mts kurikulum 2013 kelas vii, viii, ix:
Struktur kurikulum sma 15 iii.
Untuk rpp 1 lembar ini bisa ibu/bapak guru semua bisa anda download secara gratis dan lengkap. Rpp kurikulum 2013 kelas vii smp organisasi kehidupan. Pdf rpp inovasi pembelajaran aurellia akiem academia edu. Materi ipa kelas 7 smp mts kurikulum 2013 edisi revisi 2016. Selamat datang bapak ibu guru smp / mts di tahun ajaran baru ya. Mari kita review bagaimana rpp ipa pencemaran lingkungan kurikulum 2013. Smp negeri 2 muara bungo mata pelajaran : Demikian yang dapat dibagikan mengenai ppt materi ipa kelas 7 smp mts kurikulum 2013. If you continue browsing the site, you agree to the use of cookies on this website. Rencana pelaksanaan pembelajaran satuan pendidikan : Kompetensi dasar smp kelas vii, viii, ix 3. Bagi siswa yang saat ini tengah duduk dibangku kelas 7 8 9 smp / mts tentu beragam materi pelajaran sudah didapatkan. Kumpulan rpp kurikulum 2013 dan ktsp.
2 pertemuan (4 jp) kompetensi inti menghargai dan menghayati ajaran agama yang dianutnya menghargai dan menghayati perilaku jujur, disiplin, tanggungjawab, peduli (toleransi, gotongroyong),… Konsep rpp ipa smp dalam pembelajaran dimaksudkan ialah sebagai pedoman guru dalam mencapai tujuan instruksional khusus. Rpp ipa pencemaran lingkungan kurikulum 2013. Materi ipa kelas 7 smp mts kurikulum 2013 edisi revisi 2016. Demikian yang dapat dibagikan mengenai ppt materi ipa kelas 7 smp mts kurikulum 2013.
Bab 9 Pencemaran Lingkungan Dan Dampaknya Bagi Kehidupan Science Portal from miftakhurrofiah.files.wordpress.com Berikut ini admin bagikan kepada anda ringkasan materi ipa bab 3 kelas 7 semester 2 kurikulum 2013 revisi 2017. Pada model pembelajaran ini keaktifan siswapun tumbuh dengan dibentuknya kelompok yang heterogen dan terdiri dari kelompok asal dan kelompok ahli. Silabus rpp ips smp mts kurikulum 2013 kelas 7, 8, 9. Download download rpp pencemaran lingkungan pdf. Sebagaimana di maksud agar setiap ketetapan materi kompetensi dasar pada mata pelajaran ilmu pengetahuan alam (ipa) kurikulum 2013 dapat terealisasikan secara optimal. Wa 085.218.321.456 | smp > rpp pencemaran lingkungan smp kelas 7 kurikulum 2013 pdf. Selamat datang bapak ibu guru smp / mts di tahun ajaran baru ya. Pelatihan pendidik dan tenaga kependidikan 19 c.
Rpp daring ipa kelas 7 k13 2021/2022 lengkap, download rppjj 1 lembar ipa kelas vii smp/mts semster 1 & 2 kurikulum 2013 revisi terbaru.
Rpp kd 3 8 pencemaran lingkungan. 2 pertemuan (4 jp) kompetensi inti menghargai dan menghayati ajaran agama yang dianutnya menghargai dan menghayati perilaku jujur, disiplin, tanggungjawab, peduli (toleransi, gotongroyong),… Pelatihan pendidik dan tenaga kependidikan 19 c. Pencemaran lingkungan alokasi waktu : Sehingga kualitasnya turun sampai ke tingkat tertentu yang menyebabkan. Rpp satu lembar ipa kelas 7 8 9 smp mts tahun 2020. Rpp bilangan smp kelas vii (tujuh) semester 1. Rpp pencemaran lingkungan nuri rhamdhani wijaya academia edu. Pada model pembelajaran ini keaktifan siswapun tumbuh dengan dibentuknya kelompok yang heterogen dan terdiri dari kelompok asal dan kelompok ahli. Instink mathematic rpp ipa pencemaran lingkungan kurikulum 2013. Berikut ini kutipan teks dari isi berkas silabus rpp ips smp mts kurikulum 2013 kelas vii, viii, ix: Download rpp ipa smp kelas 7 8 9 kurikulum 2013 revisi 2017 dan revisi 2020 1 lembar semester 1 2 ganjil dan genap. Rpp pencemaran kelas vii (k.13) rencana pelaksanaan pembelajaran (rpp) kelas perlakuan sekolah :
Kerjasama, cinta damai, responsif dan proaktif dalam melakukan percobaan dan diskusi di dalam kelas maupun di luar kelas. Selamat datang bapak ibu guru smp / mts di tahun ajaran baru ya. If you continue browsing the site, you agree to the use of cookies on this website. Download silabus dan rpp ipa kelas 7 8 9 smp mts kurikulum 2013. Pdf rpp inovasi pembelajaran aurellia akiem academia edu.
Pengembangan Komik Pencemaran Lingkungan Sebagai Sumber Belajar Siswa Kelas Vii Smp Pdf Free Download from docplayer.info Materi ketiga setelah interaksi makhluk hidup dan lingkungan adalah pencemaran lingkungan. Instink mathematic rpp ipa pencemaran lingkungan kurikulum 2013. Silabus smp kelas 7, 8 dan 9 edisi revisi 2017 mata pelajaran ipa. 2 jp tujuannya siswa diharapkan mampu mengidentifikasi isi fabel legenda. 1.1 mengagumi keteraturan dan kompleksitas ciptaan tuhan tentang aspek fisik dan kimiawi, kehidupan dalam ekosistem, dan peranan manusia dalam lingkungan serta mewujudkannya dalam pengamalan ajaran agama yang dianutnya. Sehingga kualitasnya turun sampai ke tingkat tertentu yang menyebabkan. Rencana pelaksanaan pembelajaran satuan pendidikan : Pdf rpp inovasi pembelajaran aurellia akiem academia edu.
Kompetensi dasar smp kelas vii, viii, ix 3.
Berikut ini admin bagikan kepada anda ringkasan materi ipa bab 3 kelas 7 semester 2 kurikulum 2013 revisi 2017. Untuk rpp 1 lembar ini bisa ibu/bapak guru semua bisa anda download secara gratis dan lengkap. Sebagaimana di maksud agar setiap ketetapan materi kompetensi dasar pada mata pelajaran ilmu pengetahuan alam (ipa) kurikulum 2013 dapat terealisasikan secara optimal. Kompetensi dasar smp kelas vii, viii, ix 3. Menghargai dan menghayati ajaran agama yang dianutnya 2. Silabus bahasa inggris smp kelas 7 kurikulum 2013 pdf.contoh rpp bahasa inggris kelas 7 semester 1 kurikulum 2013 chapter 6. Rpp ipa kelas vii pencemaran lingkungan. Download format kkm ipa kelas 7 smp revisi terbaru kurikulum 2013. Rpp smp kurikulum 2013 kelas 7 8 9 semua mata pelajaran dilengkapi dengan silabus prota prosem untuk semester 1 dan semester 2. Smp negeri 7 samarinda mata pelajaran : Struktur kurikulum sma 15 iii. Pencemaran lingkungan alokasi waktu : Pencemaran lingkungan alokasi waktu :
Berbagi
Posting Komentar
untuk "Rpp Pencemaran Lingkungan Smp Kelas 7 Kurikulum 2013 Pdf / Rpp Pencemaran Lingkungan Pdf - 2 pertemuan (4 jp) kompetensi inti menghargai dan menghayati ajaran agama yang dianutnya menghargai dan menghayati perilaku jujur, disiplin, tanggungjawab, peduli (toleransi, gotongroyong),…"
Posting Komentar untuk "Rpp Pencemaran Lingkungan Smp Kelas 7 Kurikulum 2013 Pdf / Rpp Pencemaran Lingkungan Pdf - 2 pertemuan (4 jp) kompetensi inti menghargai dan menghayati ajaran agama yang dianutnya menghargai dan menghayati perilaku jujur, disiplin, tanggungjawab, peduli (toleransi, gotongroyong),…"